BÖLÜM 12
TEMEL ZEMİNİ VE TEMELLER İÇİN DEPREME DAYANIKLI TASARIM KURALLARI
 
 
12.0. SİMGELER

Ao      
Bölüm 6
’da tanımlanan Etkin Yer İvmesi Katsayısı
Ch       =
  Toprak basıncının hesabında kullanılan yatay eşdeğer deprem katsayısı
Cv       =  Toprak basıncının hesabında kullanılan düşey eşdeğer deprem katsayısı
H         =  Üniform zeminin toplam yüksekliği veya tabakalı zemin durumunda tabaka
kalınlıklarının toplamı
h1       =  Zeminin en üst tabakasının kalınlığı
I = Bölüm 6’da tanımlanan Bina Önem Katsayısı
i          =  Aktif veya pasif basınç tarafındaki zemin yüzeyinin yatayla yukarıya doğru yaptığı
şev açısı
Kas     =  Statik aktif basınç katsayısı
Kad     =  Dinamik aktif basınç katsayısı
Kat      =  Toplam aktif basınç katsayısı
Kps      =  Statik pasif basınç katsayısı
Kpd      =  Dinamik pasif basınç katsayısı
Kpt       =  Toplam pasif basınç katsayısı
Pad       =  Zemin kütlesinden oluţan dinamik aktif basý kuvvetinin bileţkesi
Ppd       =  Zemin kütlesinden oluşan dinamik pasif basınç kuvvetinin bileşkesi
pad (z) =  Zemin kütlesinden oluşan dinamik aktif basıncın derinliğe göre değişim fonksiyonu ppd (z)  =  Zemin kütlesinden oluţan dinamik pasif basýncın derinliğe göre değişim fonksiyonu
pv(z)     =  Düşey toprak basıncının derinliğe göre değişim fonksiyonu
Qad      =  Düzgün yayılı dış yükten oluşan dinamik aktif basınç kuvvetinin bileşkesi
Qpd      =  Düzgün yayılı dış yükten oluşan dinamik pasif basınç kuvvetinin bileşkesi
qad (z)   = Düzgün yayılı dış yükten oluşan dinamik aktif basıncın derinliğe göre
değişim fonksiyonu
qpd (z) = Düzgün yayılı dış yükten oluşan dinamik pasif basıncın derinliğe göre değişim fonksiyonu
qo        =  Düzgün yayılı dış yükün genliği
Rza    =  Zemin dayanma (istinat) duvarlarında kesit hesabına esas dinamik iç kuvvetlerin elde edilmesi için kullanılan azaltma katsayısı
z          =  Zemin serbest yüzeyinden itibaren aşağıya doğru ölçülen derinlik
zcd      = Aktif veya pasif basınç kuvvetinin bileşkesinin zemin üst yüzeyinden itibaren aşağıya doğru ölçülen derinliği
  =   Duvar-zemin arakesitinin düşeyle aktif veya pasif basınç tarafına doğru yaptığı açı
d     =   Zeminle duvar arasındaki sürtünme açısı
j     =  Zeminin içsel sürtünme açısı
Æ    = Donatı çapı
g     =  Zeminin kuru birim hacım ağırlığı
g =  Zeminin su altındaki birim hacım ağırlığı
g =  Zeminin suya doygun birim hacım ağırlığı
l    =  Toplam aktif ve pasif basınç katsayılarının hesabında eşdeğer deprem katsayılarına bağlı olarak hesaplanan açı

12.1. KAPSAM

Deprem bölgelerinde yapılacak binalarda zemin koşullarının belirlenmesi; betonarme, çelik, ahşap ve yığma kargir bina temellerinin ve zemin dayanma (istinat) yapılarının tasarımı, bu konulardaki yönetmelik ve standartlarla birlikte öncelikle bu bölümde verilen kural ve koşullara uyularak yapılacaktır. Kerpiç binaların temellerine ilişkin kurallar ise Bölüm 11’de verilmiţtir.


12.2. ZEMİN KOŞULLARININ BELİRLENMESİ

12.2.1. Zemin Grupları ve Yerel Zemin Sınıfları

12.2.1.1 - Yerel zemin koşullarının belirlenmesi için esas alınacak zemin grupları Tablo12.1’de, yerel zemin sınıfları ise Tablo12.2’de verilmistir. Tablo12.1’deki zemin parametrelerine ilişkin değerler, zemin gruplarının belirlenmesinde yol göstermek üzere verilen standart değerlerdir.

12.2.1.2 - Aşağıda belirtilen binalarda, gerekli saha ve laboratuar deneylerine dayanan zemin araştırmalarının yapılması, ilgili raporların düzenlenmesi ve proje dökümanlarına eklenmesi zorunludur. Raporlarda Tablo12.1 ve Tablo12.2’ye göre tanımlanan zemin grupları ve yerel zemin sınıfları açık olarak belirtilecektir.

(a) Birinci ve ikinci derece deprem bölgelerinde toplam yüksekliği 60 m’den fazla olan tüm binalar,
(b) Bütün deprem bölgelerinde, bina yüksekliğinden bağımsız olarak, bolum6’da Tablo6.3 ile tanımlanan Bina Önem Katsayısı’nın I =1.5 ve I =1.4 olduğu binalar.

12.2.1.3 - Yukarıdaki 12.2.1.2’nin kapsamı dışında kalan diğer binalar için ise, birinci ve ikinci derece deprem bölgelerinde, zemin gruplarının ve yerel zemin sınıflarının Tablo12.1 ve Tablo12.2'deki tanımlara göre belirlenmesini sağlayacak yerel bilgilerin ya da gözlem sonuçlarının deprem hesap raporlarında belirtilmesi veya bu konuda yayınlanmış kaynaklara referans verilmesi zorunludur.

12.2.1.4 - Birinci ve ikinci derece deprem bölgelerinde, Tablo12.1de (C) ve (D) gruplarına giren zeminlerde, deprem yükleri altında kazıkların yatay yataklanma parametreleri ile yatay ve eksenel yük taşıma güçlerinin belirlenmesi, saha ve laboratuar deneylerini içeren zemin araştırmalarına göre yapılacaktır.

12.2.2. Sıvılaşma Potansiyelinin İrdelenmesi

Bütün deprem bölgelerinde, yeraltı su seviyesinin zemin yüzeyinden itibaren 10 metre içinde olduğu durumlarda, Tablo12.1’de (D) grubuna giren zeminlerde Sıvılaşma Potansiyeli’nin bulunup bulunmadığının, saha ve laboratuar deneylerine dayanan uygun analiz yöntemleri ile incelenmesi ve sonuçların belgelenmesi zorunludur.
 

12.3. TEMELLERE İLİŞKİN KURAL VE KOŞULLAR

12.3.1. Genel Kurallar

Bina temelleri, deprem sırasında oturma veya farklı oturmalardan ötürü üstyapıda hasara neden olmayacak biçimde, oturdukları zeminin özellikleri gözönüne alınarak, zemin mekaniği ve temel inşaatı ilkelerine göre yapılacaktır. Bu bölümde temellerle ilgili olarak verilen kurallar; betonarme, çelik, ahşap ve yığma kargir binaların temelleri için geçerlidir. Kerpiç binaların temellerine ilişkin kurallar bolum11’de verilmiţtir.

12.3.2. Zemin Emniyet Gerilmeleri ve Kazıkların Emniyetli Taşıma Yükleri

12.3.2.1 - Temel zemini olarak Tablo12.1’de (A), (B) ve (C) gruplarına giren zeminlerde, statik yüklere göre tanımlanan zemin emniyet gerilmesi ve kazıklı temellerde kazığın yatay ve eksenel yükler için emniyetli taşıma yükü, deprem durumunda en fazla %50 arttırılabilir.

12.3.2.2 - Temel zemini olarak Tablo12.1’de (D) grubuna giren zeminlerde, deprem durumunda zemin emniyet gerilmesi ve kazıkların emniyetli taşıma yükü arttırılamaz.

12.3.3. Kazıklı Temellere İlişkin Koşullar

12.3.3.1 - Birinci ve ikinci derece deprem bölgelerinde, düşeye göre eğimleri 1/6’dan daha fazla olan eğik kazıklar kullanılmayacaktır.

12.3.3.2 - Kazıklı temeller, eksenel yüklere ek olarak depremden oluşan yatay yüklere göre de hesaplanacaktır.

12.3.3.3 - Birinci ve ikinci derece deprem bölgelerinde, kılıflı ya da kılıfsız yerinde dökme fore kazıklarda, 3 metreden az olmamak üzere, kazık başlığının altındaki kazık boyunun üstten 1/3’ünde boyuna donatı oranı 0.008’den az olamaz. Bu bölgeye konulacak spiral donatı çapı 8 mm’den az ve spiral adımı 200 mm’den fazla olmayacak, ayrıca üstten en az iki kazık çapı kadar yükseklikte spiral donatı adımı 100 mm’ye indirilecektir.

12.3.3.4 - Betonarme prefabrike çakma kazıklarda boyuna donatı oranı 0.01’den az olamaz. Birinci ve ikinci derece deprem bölgelerinde, kazık başlığının altındaki kazık boyunun üstten 1/3’ünde enine donatının çapı 8 mm’den az olmayacaktır. Bu bölgede, etriye aralığı veya spiral donatı adımı 200 mm’den fazla olmayacak, ayrıca üstten en az iki kazık çapı (dikdörtgen kesitli kazıklarda en büyük boyutun iki katı) kadar yükseklikte etriye aralığı ya da spiral donatı adımı 100 mm’ye indirilecektir. Enine donatı koşulları, öngerilmeli prefabrike çakma kazıklarda da aynen uygulanacaktır.

12.3.4. Temel Bağ Kirişleri

12.3.4.1 - Betonarme ve çelik binalarda tekil temelleri veya kazık başlıklarını her iki doğrultuda, sürekli temelleri ise kolon veya perde hizalarında birbirlerine bağlayan bağ kirişleri düzenlenecektir. Temel zemini Tablo12.1’deki (A) grubuna giren zeminlerde bağ kirişleri yapılmayabilir veya sayısı azaltılabilir.

12.3.4.2 - Bağ kirişleri, temel kazısına uygun olarak, temel altından kolon tabanına kadar olan yükseklikteki herhangi bir seviyede yapılabilir.

12.3.4.3 - Binanın bulunduğu deprem bölgesine ve Tablo12.1’de tanımlanan zemin gruplarına bağlı olarak, bağ kirişlerinin sağlaması gereken minimum koţullar tablo_12.3’te verilmiţtir.

12.3.4.4 - Kesit hesabında bağ kirişlerinin hem basınç, hem de çekme kuvvetlerine çalışacağı gözönünde tutulacaktır. Zemin ya da taban betonu tarafından sarılan bağ kirişlerinin basınca çalışması durumunda, burkulma etkisi gözönüne alınmayabilir. Çekme durumunda ise, çekme kuvvetinin sadece donatı tarafından taşındığı varsayılacaktır. Bağ kirişlerinin etriye çapı 8 mm’den az ve etriye aralığı 200 mm’den fazla olmayacaktır.

12.3.4.5 - Bağ kirişleri yerine betonarme döşemeler de kullanılabilir. Bu durumda, döşeme kalınlığı 150 mm’den az olmayacaktır. Döşemenin ve içine konulan donatının, tablo_12.3’te bağ kirişleri için verilen yatay yüklere eşit yükleri güvenli biçimde aktarabildiği hesapla gösterilecektir.

12.3.5. Ahşap ve Yığma Kargir Binalarda Duvar Altı Temelleri

12.3.5.1 - Ahşap ve yığma kargir bina temelleri, taşıyıcı duvarların altında betonarme sürekli temel olarak yapılacaktır. Duvar altı temelinin derinliği; zemin özellikleri, yeraltı su düzeyi ve yerel don derinliği gözönüne alınarak saptanacaktır. Bodrumsuz binalarda temellerin üzerine yapılacak taş veya beton duvarların üst kotu, kaldırım kotundan en az 50 cm yukarıda olacaktır.

12.3.5.2 - Duvar altı temellerinin beton kalitesi en az C16 (BS16) olacaktır. Tablo12.1’de tanımlanan zemin gruplarına göre, duvar altı temellerinin boyutlarına ve donatılarına ilişkin koşullar tablo_12.4’te verilmiţtir.

12.3.5.3 -Tablo12.1’de (A), (B) veya (C) gruplarına giren zeminlerin bulunduğu eğimli arazide temeller basamaklı olarak yapılabilir. Basamaklı temellere ilişkin koşullar da tablo_12.4’te verilmiţtir.

12.3.5.4 - Duvar altı temellerine konulacak boyuna donatıların hem üstte ve hem altta yatay aralıkları 30 cm’yi geçmeyecek; köşelerde, kesişme noktalarında ve basamaklı temel durumlarında sürekliliği sağlayacak biçimde bindirme yapılacaktır.

 

12.4. DEPREMDE TOPRAK BASINCI VE ZEMİN DAYANMA (İSTİNAT) YAPILARI

12.4.1. Toplam Aktif ve Pasif Basınç Katsayıları

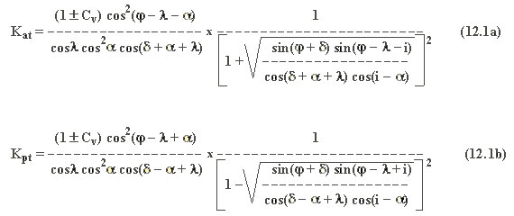
12.4.1.1 - Statik toprak basıncı ile depremden oluşan ek dinamik toprak basıncının toplamını hesaplamak için kullanılacak Toplam Aktif Basınç Katsayısı, Kat ve Toplam Pasif Basınç Katsayısı, Kpt , emniyetli yönde kalmak üzere zeminin kohezyonu ihmal edilerek, Denk.(12.1) ile verilmiţtir.

12.4.1.3 - Zeminin su altında veya suya doygun olması durumunda Denk.(12.1)’de d yerine d /2 gözönüne alınacaktır.

12.4.1.4 - Denk.12.2’de yer alan yatay eşdeğer deprem katsayısı Ch , Denk.(12.3) ile tanımlanmıştır.

(a) Düşeyde serbest konsol olarak çalışan zemin dayanma (istinat) yapılarında,

Ch = 0.2 (I +1) Ao (12.3a)

(b) Yatay doğrultuda bina döşemeleri veya ankrajlarla mesnetlenmiş zemin dayanma (istinat) yapı ve elemanlarında,

Ch = 0.3 (I +1) Ao (12.3b)

12.4.1.5 - Denk.(12.1) ve Denk.(12.2)’de yer alan düşey eşdeğer deprem katsayısı Cv, Denk.(12.4) ile tanımlanmıştır. Ancak, yatay doğrultuda bina döşemeleri ile mesnetlenmiş bodrum duvarlarında Cv = 0 alınacaktır.

Cv = 2 Ch / 3 (12.4)

Denk.(12.1)’de, Denk.(12.2) ile uyumlu olarak, yatay toprak basıncı bakımından daha elverişsiz sonuç verecek şekilde, +Cv veya - Cv durumları gözönüne alınacaktır.

12.4.2. Dinamik Aktif ve Pasif Toprak Basınçları

12.4.2.1 - Depremden oluşan dinamik aktif basınç katsayısı Kat ve dinamik pasif basınç katsayısı Kpt , Denk.(12.5) ile belirlenir.

Kad = Kat - Kas (12.5a)

Kpd = Kpt - Kps (12.5b)

Denk.(12.5)’te yer alan statik aktif basınç katsayısı Kas ve statik pasif basınç katsayısı Kps , Denk.(12.1)’de l = 0 ve Cv = 0 konularak elde edilebilir.

12.4.2.2 - Statik toprak basıncına ek olarak deprem durumunda zemin kütlesinden ötürü oluşan ek dinamik aktif ve pasif toprak basıncının zemin yüksekliği boyunca değişimi Denk.(12.6) ile tanımlanmıştır.

pad (z) = 3 Kad (1 - z / H) pv(z) (12.6a)

ppd (z) = 3 Kpd (1 - z / H) pv(z) (12.6b)

Zeminin kuruda ve üniform olması durumunda, pv(z) = g z alınarak Denk.(12.6)’nın zemin yüksekliği boyunca entegre edilmesi ile, statik basınca ek olarak depremden oluşan dinamik aktif toprak basıncının pozitif değerli bileţkesi Pad ve dinamik pasif toprak basıncının negatif değerli bileşkesi Ppd ile bu bileţkelerin zemin üst yüzeyinden itibaren derinliđini gösteren zcd , Denk.(12.7) ve Denk.(12.8) ile verildiği şekilde elde edilir:

Pad = 0.5 g Kad H2 (12.7a)

Ppd = 0.5 g Kpd H2 (12.7b)

zcd = H / 2 (12.8)

Zeminin su altında olması durumunda pv(z)’in hesabında g yerine g b gözönüne alınacak ve suyun hidrodinamik basıncı ayrıca hesaplanmayacaktır. Zeminin suya doygun olması durumunda ise g yerine g s kullanılacaktır.

12.4.2.3 - Statik toprak basıncına ek olarak deprem durumunda düzgün yayılı dış yükten oluşan aktif ve pasif toprak basıncının zemin yüksekliği boyunca değişimi Denk.(12.9) ile tanımlanmıştır.

qad (z) = 2 qo Kad (1 - z / H) cos a / cos(a - i) (12.9a)

qpd (z) = 2 qo Kpd (1 - z / H) cos a / cos(a - i) (12.9b)

Zemin özelliklerinin üniform olması durumunda, Denk.(12.9)’un zemin yüksekliği boyunca entegre edilmesi ile, statik basınca ek olarak, depremin katkısı ile oluşan aktif (pozitif) ve pasif (negatif) toprak basınçlarının bileşkeleri Qad ve Qpd ile bu bileşkelerin zemin üst yüzeyinden itibaren derinliğini gösteren zcd , Denk.(12.10) ve Denk.(12.11) ile verildiği şekilde elde edilir.

Qad = qo Kad H cos a / cos(a - i) (12.10a)

Qpd = qo Kpd H cos a / cos(a - i) (12.10b)

zcd = H / 3 (12.11)

12.4.3. Tabakalı Zemin Durumunda Dinamik Toprak Basınçları

Yukarıda Denk.(12.6) ve Denk.(12.9) ile verilen bağıntılar, zeminin tabakalı olması durumunda da uygulanabilir. Bu durumda, her bir tabaka için o tabakaya ait Kad veya Kpd katsayıları kullanılacak ve z derinliği daima serbest zemin yüzeyinden aşağıya doğru gözönüne alınacaktır. Her bir tabakaya ait ek dinamik aktif veya pasif basınç kuvvetinin bileşkesi ve tabaka içindeki derinliği, Denk.(12.6) ve Denk.(12.9)’un ilgili tabaka boyunca entegre edilmesi ile bulunabilir.

12.4.4. Zemin Dayanma (İstinat) Yapılarına İlişkin Koţullar

12.4.4.1 - Düşeyde serbest konsol olarak çalışan zemin dayanma (istinat) duvarlarının deprem hesabında, yatay toprak basıncının yanında duvarın kendi kütlesine ilişkin deprem kuvvetleri gözönüne alınmayabilir. Statik toprak basınçlarına ek olarak Denk.(12.6) ve Denk.(12.9)’da verilen dinamik toprak basınçları da gözönüne alınarak yapılan hesapta, kaymaya karşı güvenlik katsayısı en az 1.1 ve devrilmeye karşı güvenlik katsayısı en az 1.3 olarak alınacaktır.

12.4.4.2 - Betonarme zemin dayanma (istinat) duvarlarında ve betonarme veya çelik palplanşlı duvarlarda kesit hesabında esas alınacak iç kuvvetler, statik toprak basıncından oluşan iç kuvvetlere ek olarak, Denk.(12.6) ve Denk.(12.9)’da verilen dinamik toprak basınçlarına göre hesaplanan iç kuvvetlerin Rza = 1.5 katsayısına bölünmesi ile elde edilecektir. Geçici çelik palplanşlı duvarlarda Rza = 2.5 alınabilir.